پمپهای سانتریفیوژ بیشترین کاربرد و استفاده را در تمامی کاربریها دارند. طراحی پمپ سانتریفیوژ به منظور عملکرد صحیح، داشتن بیشترین بهرهوری و کمترین هدررفت و هزینه به گونهای صورت گرفته است که تعادل اجزای چرخان برقرار شود و برگشت جریان سیال به سمت مکش به کمترین مقدار ممکن برسد.
بدین منظور قطعه مهمی به نام رینگ سایشی در پمپ سانتریفیوژ بکار میرود. رینگ سایشی دو نوع چرخان و ثابت دارد که یکی برای پروانه و دیگری برای پوسته داخلی پمپ استفاده میشود. رینگهای سایشی در مجاورت یکدیگر قرار میگیرند و علاوه بر کاهش ارتعاش و حفظ بالانس پمپ منجر به افزایش راندمان پمپ نیز میشوند و از طرفی از تماس پروانه به پوسته و سایش آنها نیز جلوگیری میکنند.

انواع رینگ سایشی مورد استفاده در پمپ
- رینگ سایشی قابل تعویض (قسمت پروانه)
- رینگ سایشی ثابت (قسمت پوسته)
رینگهای سایشی در پمپهای سانتریفیوژ شامل نوع قابل تعویض برای قسمت چرخشی پمپ یعنی پروانه و نوع ثابت برای قسمت داخلی پوسته میشود. دو رینگ سایشی ذکرشده در مجاورت یکدیگر قرار میگیرند و نقش خود را در پمپ ایفا میکنند.
نقش رینگ سایشی در پمپ
رینگ سایشی در پمپهای سانتریفیوژ سه وظیفه اصلی دارد:
- از تماس مستقیم و سایش پروانه با پوسته داخلی پمپ جلوگیری میکند.
- از برگشت جریان سیال از قسمت پرفشار (جلوی پروانه) به قسمت کم فشار (پشت پروانه و مکش پمپ) جلوگیری میکند.
- ارتعاشات و لرزش بین پروانه و شفت را کاهش میدهد و پروانه روی پمپ را در حالت تعادل نگه میدارد.
همانطور که وظایف رینگ سایشی اشاره شد، وجود این رینگها در پمپ بسیار ضروری است و علاوه بر کاهش هزینههای استهلاک و خرابی، باعث بهبود عملکرد پمپ و افزایش راندمان آن میشود.
لقی بین رینگ سایشی
رینگهای سایشی پروانه و پوسته با یکدیگر کاملا در تماس نیستند و یک فاصله اندک بین آنها برقرار است. فاصله بین رینگهای سایشی (یا لقی رینگها) باید در محدوده مجازی باشد که توسط استانداردهای بینالمللی تعریف شده است.
مقدار لقی بین رینگهای سایشی در صورتی که از مقدار مجاز کمتر باشد، در هنگام چرخش پروانه امکان برخورد با یکدیگر را دارند و منجر به استهلاک آنها میشود. همچنین با افزایش دما رینگها دچار انبساط شده و گیرپاژ خواهند کرد.
همچنین در صورتی که مقدار لقی بیشتر از مقدار مجاز باشد، در نقش رینگها خلل ایجاد شده و امکان برگشت جریان سیال به سمت مکش و در پی آن کاهش راندمان پمپ وجود دارد.

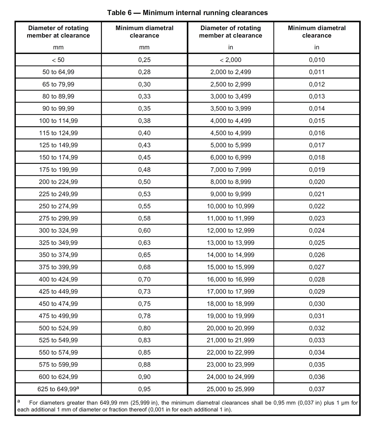
میزان لقی مجاز رینگ سایشی
استاندارد API 610 حداقل مقدار لقی مجاز بین رینگهای سایشی پروانه و پوسته را بر حسب قطر رینگ پروانه تعیین کرده است. این میزان لقی مجاز باید توسط شرکتهای سازنده پمپ در هنگام طراحی محصولات خود لحاظ شده باشد. همچنین در صورتی که قطعه مستهلک شده و نیاز به تعویض داشته باشد، بهرهبرداران پمپ باید مقدار مجاز لقی بین رینگها که در استاندارد API 610 توصیه شده را رعایت کنند.
در جدول زیر که بطور مستقیم از ویرایش 11 ام این استاندارد استخراج شده است، حداقل میزان مجاز لقی بین رینگها آورده شده است.

دو نکته در جدول فوق طبق بندهای استانداردهای API مهم است:
- مطابق با جدول فوق، رینگ چرخشی با قطر 2 الی 5 اینچ به ازای هر 0.5 اینچ افزایش، لقی به میزان 0.001 اینچ افزایش مییابد. همچنین رینگ چرخشی با قطر 5 الی 26 اینچ به ازای هر 1 اینچ افزایش، لقی به میزان 0.001 اینچ افزایش مییابد.
- برای چدن، برنز، فولادهایی سختکاریشده و موادی که مقدار سایش در آنها کم است مقادیر لقی جدول فوق کاربردی است. برای موادی که مقاومت به سایش آنها کمتر است و همچنین برای شرایطی با دماهای عملکردی بالاتر از 260 درجه سانتیگراد، مقدار 125 میکرومتر (0.005 اینچ) به مقادیر مندرج در جدول فوق اضافه میشود.
جمعبندی
رینگ سایشی یکی از اجزای پمپ سانتریفیوژ است که جلوی تماس مستقیم پروانه با قسمت داخلی پوسته را میگیرد. رینگ سایشی وظیفه مهم افزایش راندمان پمپ با جلوگیری از برگشت جریان سیال به سمت ورودی پمپ را نیز برعهده دارد.
در واقع در پمپها دو رینگ سایشی در مجاورت یکدیگر بکار میرود که با یکدیگر باید فاصله مشخصی داشته باشند.
رعایت لقی بین دو رینگ سایشی در طراحی پمپ اهمیت زیادی دارد که در استانداردها مقدار مجاز آن تعیین شده است. در این مقاله کالاصنعتی سعی شد به موضوع رینگهای سایشی و لقی مجاز بین آنها پرداخته شود.