از موتورهای DC در کاربردهای مختلفی چون رباتیک صنعتی، خودروسازی، صنایع سیمان، پتروشیمی، نورد فلزات، آسانسورها و قطارها استفاده میشود. راه اندازی و نیز کنترل سرعت موتور DC اهمیت بسیار زیادی دارد زیرا این موتورها بهخصوص موتورهایی که توان بالاتری دارند در هنگام راهاندازی شوک اولیه بسیار زیادی دارند و جریانی زیادی را از شبکه جذب میکنند؛ بنابراین ممکن است در هنگام راهاندازی موتور، به شبکه برق و سایر دستگاهها آسیب وارد شود.

یک دلیل دیگر برای اهمیت روشهای راه اندازی و تغییر دور موتور DC این است که با توجه به استفاده از این موتورها در کاربردهای دقیق صنعتی مانند دستگاه CNC، مصرف جریان هجومی در هنگام راهاندازی موتور میتواند باعث وارد شدن شوک به سایر تجهیزات شود و دقت آنها را کاهش دهد.
در ادامه چند روش راه اندازی موتورهای DC را با هم بررسی میکنیم. همچنین برای آشنایی با روشهای راهاندازی انواع الکتروموتور، پیشنهاد میشود مقاله کامل و مفید راه اندازی الکتروموتور را مطالعه نمایید.
فرمول محاسبه سرعت موتورهای DC
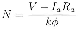
در موتورهای DC سرعت به عوامل مختلفی بستگی دارد و از فرمول زیر محاسبه میشود:

در این معادله:
- V = ولتاژ ترمینال آرمیچر
- Ia= جریان آرمیچر
- Ra= مقاومت آرمیچر
- K= ثابت موتور
- φ= شار مغناطیسی هر قطب
با توجه به معادله فوق، با اعمال تغییر در ولتاژ ورودی سیمپیچ موتور (ولتاژ ترمینال آرمیچر)، اضافهکردن مقاومت در مدار سیمپیچ و تغییر شار مغناطیسی هر قطب میتوان سرعت موتورهای DC را کنترل کرد. تغییر ولتاژ و مقاومت خارجی بر مدار آرمیچر اثر میگذارند و تغییر شار مغناطیسی بر اثر تغییر در میدان مغناطیسی ایجاد میشود؛ بر این اساس روشهای کنترل دور موتور DC را میتوان به دو دسته روشهای کنترل آرمیچر و روشهای کنترل میدان تقسیمبندی کرد.
در ادامه، پنج روش راه اندازی و کنترل دور موتورهای DC را با هم بررسی میکنیم.
راه اندازی مستقیم الکتروموتور دی سی
سادهترین روش برای راه اندازی موتورهای DC، راه اندازی مستقیم است که موتور DC مستقیما به منبع تغذیه وصل میشود. با این حال به علت جریان بسیار زیاد در لحظه راهاندازی و نیز گشتاور راهاندازی بالا، ممکن است به موتور یا سایر تجهیزات آسیب وارد شود؛ بنابراین این روش تنها برای موتورهای کوچک و نیز بارهای که لختی (اینرسی) کمی دارند مناسب است. همچنین راه اندازی مستقیم ساده و کم هزینه است و نیاز به مدار پیچیدهای ندارد.
راه اندازی با مقاومت سری آرمیچر
در این روش، یک مقاومت متغیر (پتانسیومتر) به صورت سری با سیمپیچ آرمیچر بسته میشود تا جریان راه اندازی موتور را کاهش دهد. همچنین با کاهش جریان اولیه، موتور نیز آرامتر و با لرزش کمتری راه اندازی میشود.

در این روش از پتانسیومتر بهعنوان مقاومت متغیر استفاده میشود. مزایا و معایب این روش عبارتاند از:
مزایا:
- ساده و ارزان
- پایین نگه داشتن گشتاور در سرعتهای پایین
معایب:
- اتلاف توان بالا در مقاومت آرمیچر
- سرعت در بازه محدودی قابلتنظیم است.
- برای کاربردهای حساس به راندمان مناسب نیست.
کنترل جریان آرمیچر با اتصال موازی (شنت)
این روش کنترل دور موتور DC به وسیله دو مقاومت متغیر یا رئوستا در مدار آرمیچر انجام میشود؛ یکی از مقاومتها بهصورت موازی و مقاومت دیگر بهصورت سری در مدار آرمیچر قرار میگیرد. ولتاژ اعمال شده به آرمیچر با تغییر رئوستای سری (R1) کنترل شده و جریان تحریک را با مقاومت شنت آرمیچر (R2) تغییر میدهند.

مزایا:
- محدوده تنظیم سرعت گستردهتر نسبت به روش قبلی
- راندمان بالاتر نسبت به روش کنترل دور موتور با مقاومت
اما معایب:
- پیچیدگی بالا
- اتلاف توان در مقاومتها
- گشتاور در سرعتهای پایین ثابت نیست.
روشهای مقاومت آرمیچر و شنت، جزو کمهزینهترین راههای کنترل دور موتور DC به شمار میروند؛ اما بازدهی آنها نسبت به سایر روشها پایینتر است و مقدار زیادی از توان موتور در مقاومتهای متغیر تلف میشود. در این روشها ممکن است موتور در سرعتهای پایین دچار افت توان شود و از کار بیفتد. همچنین نسبت مشخصی بین تغییرات مقاومت و سرعت وجود ندارد؛ یعنی با تغییر مقدار مشخصی در توان، سرعت به میزان ثابتی کاهش نمییابد و تغییرات بار بر کاهش سرعت اثرگذار است.
از روشهای کنترل سرعت موتور DC با مقاومت و شنت، برای کاربردهای ساده و موتورهایی با توان کم استفاده میکنند و برای کاربردهای صنعتی و پیشرفتهتر، باید از روشهای دیگر استفاده شود.
راه اندازی با ترانزیستور
میتوان از ترانزیستورها به عنوان سوئیچهای الکترونیکی و برای قطع و وصل جریان الکتریکی در یک مدار کنترل دور موتور DC استفاده و جهت چرخش و سرعت آن را کنترل کرد.
انتخاب ترانزیستور به عواملی مانند ولتاژ و جریان موتور، ولتاژ تغذیه مدار و میزان جریان مورد نیاز برای کنترل موتور بستگی دارد. برای این منظور میتوان از ترانزیستورهای NPN مانند TIP120 و TIP31 و یا ماسفت قدرت استفاده کرد.
در سادهترین حالت، مدار شامل یک ترانزیستور، یک مقاومت پایه، یک منبع تغذیه و موتور DC است. ترانزیستور به عنوان یک سوئیچ عمل میکند و با تغییر ولتاژ پایه آن، میتوان موتور را روشن یا خاموش کرد. اما برای کنترل سرعت دقیق و نیز تغییر جهت موتور DC میتوان آردوینو را به مدار اضافه کرد. آردوینو شامل یک میکروکنترلر سخت افزاری و یک محیط نرم افزاری است. میتوان با نوشتن برنامهای، سیگنال PWM ارسالی از پایه خروجی آردوینو را به ترانزیستور اعمال کرد. با تغییر این سیگنال PWM در محیط نرم افزار میتوان سرعت موتور DC را داد.
روش PWM برای کنترل سرعت موتور DC و کاهش تلفات انرژی در ترانزیستور بسیار مناسب است.

راه اندازی با درایوهای موتور
برای کنترل دور موتور DC توان بالا نیز مانند الکتروموتور سه فاز از تجهیزی به نام درایو DC استفاده میکنند. درایور DC قطعه ای الکترونیکی است که برای کنترل سرعت موتورهای DC استفاده میشود. در این حالت کنترل سرعت تنها با تغییر ولتاژ و جریان ورودی انجام میشود و مانند موتورهای سه فاز، امکان کنترل فرکانس وجود ندارد. کنترل دور موتور DC توان بالا با درایور مزایای بسیاری دارد که مهمترین آن ها دقت و ایمنی بسیار بالای این روش است؛ این دقت بالا برای صنایعی مانند خودروسازی، الکترونیک و صنایع فلزی بسیار حائز اهمیت است. همچنین ایمنی بالای درایو باعث میشود که موتور با خطر کمتری روبرو شود و در صورت بروز خطا، سیستم کنترل به صورت خودکار مشکل را تشخیص دهد و اقدامات لازم برای جلوگیری از آن ایجاد شود.
چه عواملی در انتخاب روش راه اندازی الکتروموتور دی سی مهم است؟
در انتخاب یک روش مناسب برای راه اندازی موتورهای دی سی بایستی برخی نکات را مدنظر قرار داد که در ادامه به آن اشاره میکنیم:
1- نوع موتور دی سی و توان
موتورهای DC میتوانند از نوع سری، شنت یا ترکیبی از ویژگیهای این دو نوع باشند.
موتور دی سی سری گشتاور شروع بالایی دارد و برای بارهای سنگین مناسب است. در موتور دی سی شنت، سرعت تقریباً ثابت است و برای کاربردهایی که نیاز به کنترل سرعت دقیق دارند، مناسب است.
2- مشخصات بار
باید بررسی شود گشتاور مورد نیاز بار به چه صورتی است؛ همچنین برخی کاربردها به سرعت ثابت و برخی دیگر به سرعت متغیر نیاز دارند. بایستی به نوع بار نیز در راه اندازی موتور دی سی توجه کرد، چرا که برخی بارها متغیرند یا اینکه اینرسی بالایی دارند.
3- دقت
در کاربردهایی که نیاز به کنترل دقیق سرعت و گشتاور دارند نمیتوان از هر روش راه اندازی استفاده کرد. در این موارد بهتر است از درایو استفاده شود.
همچنین بایستی در نظر داشت که در هر کدام از روشهای راه اندازی موتور دی سی، راندمان، تلفات، هزینه انرژی، هزینه اولیه و نیز تعمیر و نگهداری، متفاوت است و بایستی این موارد را در نظر گرفت.
نکات مهم در راه اندازی الکتروموتور دی سی
برای عملکرد مطلوب و صحیح، افزایش عمر موتور و نیز کاهش هزینههای تعمیرات و نگهداری، توصیه میشود برخی نکات را مدنظر قرار دهید:
- مشخصات موتور مانند ولتاژ، جریان، سرعت و گشتاور نامی و نیز کلاس عایقی
- بررسی شرایط محیط کار موتور مانند دما، رطوبت و گرد و خاک
- اتصالات الکتریکی محکم و عایقبندی مناسب
- نظارت بر جریان و دمای موتور در حین کار
- تمیزکاری، روغنکاری و تعمیرات و نگهداری مرتب
جمعبندی مطالب
در این مقاله درباره راه اندازی موتورهای DC و روشهای کنترل سرعت آنها صحبت کردیم. این روشها شامل شیوههای نوین و استفاده از ابزارهای به روز و دقیق مانند استفاده از درایو و نیز میکروکنترلر و همینطور روشهای سنتی مانند استفاده مقاومت در مدار آرمیچر هستند. انتخاب اینکه چه روشی برای موتور و کاربرد شما مناسب است، بحثی کاملاً تخصصی است و پیشنهاد می کنیم از کارشناسان بخش الکتروموتور وبسایت کالا صنعتی به صورت رایگان مشورت بگیرید. ضمناً اگر تجربهای در زمینه کنترل دور موتور DC داشته اید که ممکن است برای دیگران هم مفید باشد، در بخش کامنت همین مقاله آن را به اشتراک بگذارید. سپاس از همراهی شما.
راه اندازی با درایو اولویت بیشتری دارد.
خیر - این روش هرچند ساده و ارزان است و جریان راه اندازی را محدود میکند اما تلفات بالایی ایجاد میکند و تنظیم سرعت در آن محدود است.
در این روش از یک ترانزیستور ماسفت قدرت برای سوییچینگ جریان موتور DC استفاده میشود. برای تنظیم فرکانس و سرعت این سوییچینگ از یک میکروکنترلر برای مثال آردوینو استفاده میشود. خروجی آردوینو سیگنال PWM را به ترانزیستور اعمال و سرعت موتور را تنظیم میکند.